李林六套卷¶
约 13839 个字 预计阅读时间 46 分钟
卷一¶
选择题¶
-
无穷小比阶
-
分离参数
-
可导的判断
-
几何上易得
-
taylor 后积分
-
错误错误的认为黑塞矩阵 = 0 是不偏导连续的情况,其实不是这样的。 -
反常积分的收敛性
-
对正交矩阵的概念不清楚这里汇总一下

对于本题来说
\(A^{*}A = |A| E = E\)
因为正交,进而有 \(A^{*} = A^{-1} = A^{T}\)
即 \(A_{ji} = a_{ji}\)
伴随矩阵:
\(|A^*| = |A|^{n-1}\)
A 和 伴随 秩的关系
当 \(|A| = 0\) 时,\(AA^{*} = A^{*}A=0E = 0\)
进而 $Ax= 0 $ ,\(A^{*}\) 的每一列都是解
\(A^{*} x = 0\) ,\(A\) 的每一列都是解
正交矩阵:\(A^{-1} = A^{T}\)
(\(\alpha,\beta\))= 0,则称 \(\alpha\) 与 \(\beta\) 正交
\(AA^T=A^TA=E\)
- \(A^T=A^{-1}\)
- \(|A|=1 或 |A|=-1\)
- 每个列(行)向量都是单位向量
- 列(行)向量两两正交
-
向量组转换为矩阵方程
-
注意是充要条件
填空题¶
-
极直互换
-
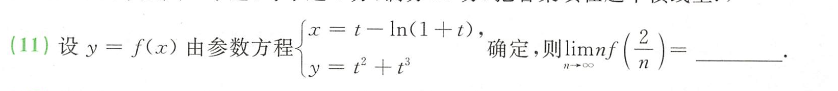
粗心\(x^{\infty}\) 在 \(x\) 不同取值下不同结果,以 \(1\) 分界点,题目上是 \(e^{nx}\) 应该是以 \(0\) 为分界点 -
不会极坐标形式的斜渐近线求法 $$ x = r\cos \theta ,y =r\sin \theta $$ 进而 $$ x = \frac{\cos \theta}{3\theta - \pi} ,y = \frac{\sin \theta}{3\theta - \pi} $$当 \(x \to +\infty\) 时,\(\theta \to \frac{\pi}{3}\) ,然后求解就可以了
-
格式错误方法繁琐
题目要求的 \(\frac{\partial z}{\partial x}\) 是 \(z,x,y\) 的关系,t 作为一个中间变量存在,最后要消掉
所以可以先将 \(t\) 消掉 $$ x = (\frac{y}{\sin z} + 1) \cos z $$ 酱紫变成了隐函数求导,公式法 yyds
-
积分区域写错了题目做不出的时候不妨看看是不是题目有问题 -
基本公式记错把 \((2A)^*\) 看做一个普通矩阵的伴随就好了,先把系数提出来就简单了, $$ \begin{align} |(2A)^{-1}-(2A)^{}| &= |\frac{1}{2} A^{-1} - 2^2A^| \ &= |\frac{1}{2} A^{-1} - 2^2 |A|A^{-1}| \ &= |(-\frac{3}{2}) A^{-1}| \ &= (-\frac{3}{2})^{3} |A^{-1}| \ &= -\frac{27}{4} \end{align} $$$$
$$
伴随矩阵熟记母公式,实在不行可以硬推 $$ AA^{} = A^{}A =|A|E $$
- \((AB)^*=B^*A^*\)
- \((cA)^*=c^{n-1}A^*\)
- \(|A^*|=|A|^{n-1}\)
解答题¶
- 极限的计算
- 极直互换
- 无条件极值,拉格朗日数乘法
- 微分方程的计算
- 简单中值定理,第二问可以用泰勒中值定理一步出来,也可以用多项式拟合。
- 简单题
总结:
对正交矩阵和伴随矩阵的基础公式掌握不扎实
碰到做不出来的题目,直接跳,很有可能是读错题了,浪费再多时间也没有任何作用!!!
卷二¶
T9
幂零矩阵的秩:\(A^k=0\) (\(k\) 为满足该式的最小值) \(\Longrightarrow\) \(r(A) = k-1\) 乘一次 A 降一个维度,乘 k 次化为零矩阵
幂零矩阵的两种情况:秩一矩阵且迹为零,上三角矩阵且主对角线元素为零,下三角矩阵且主对角线元素为零。
\(A^2 = 0 \Longrightarrow r(A)+r(A) \le 3\) ,且 \(A\) 不是零矩阵,进而 $ 1\le r(A) < 2 \Longrightarrow r(A)=1$
非齐次线性无关解向量的个数为 \(n-r(A) + 1\) ( 1 就是特解,因为齐次通解表示不出来特解,所以要加 1)
T13
注意积分区域是在 \(x\) 轴的下方,要求的是面积,所以最后要加一个负号
做的最顺畅的一套卷子,但还存在不够细致的问题。
卷三¶
选择题¶
-
抽象函数无穷小比阶,等式脱帽法~
-
无穷间断点考虑无定义点和分母为零的点,即 \(x= 0,1,2\)
-
分离参数
-
齐次方程的通解是 \(kx\) ,其中 \(x\) 是非零解
-
taylor展开,\(\frac{1}{1+x} = 1-x+x^2-\cdots\)
-
取特殊值 \(f(x) = -2x\)
\(\int_0^tf(x)dx > \int_0^1tf(x) dx\) 描述的其实是 \(F(x) = \int_0^xf(t)dt\) 两个割线的关系,如下 $$ \frac{\int_0^tf(x)dx}{t-0} > \frac{\int_0^1f(x) dx}{1-0} $$ 因为 \(f'(x) < 0\) ,所以 $ F''(x) <0 $ ,从而利用凸函数的几何意义快速解题 $$ \begin{align} \frac{\int_0^tf(x)dx}{t-0} &> \frac{\int_0^tf(x) dx+\int_t^1f(x) dx}{1-0} \ \frac{(1-t)\int_0^tf(x)dx}{t-0} &> \frac{\int_t^1f(x) dx}{1-0} \ \frac{\int_0^tf(x)dx}{t-0} &> \frac{\int_t^1f(x) dx}{(1-t)} \ f(t_1) > f(t_2) &,其中 \,\,t_1 \in(0,t),t_2 \in(t,1) \ \ 然后根据单调性& ,判断是否矛盾 \ \ PS:实际过程应该反着来&,这样就相当于反证推矛盾了 \end{align} $$
这类题还可以通过 积分的拆分 + 积分中值定理 $$ \begin{align*} &\int_0^tf(x)dx > t[\int_0^tf(x) dx+\int_t^1 f(x) dx] \ 进而有,&(1-t)\int_0^tf(x)dx > t\int_t^1 f(x) dx \ 积分中值定理,得, &(1-t)tf(t_1) > t(1-t)f(t_2) \ 即 & f(t_1) > f(t_2) ,其中 \,\,t_1 \in(0,t),t_2 \in(t,1) \
\ & 然后根据单调性,判断是否矛盾 \ &因为f'(x)<0,所以 f(t_1) > f(t_2) \ \,\,\,\, & QED.
\end{align*} $$
-
通过黑塞矩阵判断极值点
-
易得 \(A\left( \begin{array}{c} 1\\ 1\\ 1\\ \end{array} \right) =0\) ,进而有 \(r(A) \le n-1\) ,然后通过 \(A\) 和 \(A^*\) 的秩的关系 和 举一个特例 $$ A=\left( \begin{matrix} 1& -1\ 1& -1\ \end{matrix} \right) , A^*=\left( \begin{matrix} -1& 1\ -1& 1\ \end{matrix} \right) $$
-
注意 \(c\) 可能为零
- 配方法求解具体二次型很方便。
填空题¶
-
简单题
-
错误注意到 \(f\) 是一阶偏导连续的,所以要用定义才能求二阶偏导。 $$ \frac{\partial ^2z}{\partial x^2}|{\left( 0,0 \right)} = \frac{\frac{\partial z}{\partial x}\left| $$} - \frac{\partial z}{\partial x}| _{\text{(0,0)}} \right.}{x-0
半路上就能化简,能化简的先拿出来单独计算。
- 无条件极值,求黑塞矩阵即可。
- 曲线的全长,确定定义域是关键
- 物理题
计算错误QAQ,粗心
解答题¶
-
极限的计算
-
这题求出的常数C,要带入原式在计算出来,好麻烦QAQ
-
二重积分计算错误 -
极坐标的计算,先 \(r\) 后 \(\theta\) 型
-
不会微分中值,可以通过 达布定理来说明存在一阶导等于零 -
思路错误正交变换和相似变换记混了。正交变换是跟合同相关的题目证明的是 \(Q^TAQ= \land\)
相似对角化,即相似变化求解的是 \(P^{-1}AP = \land\)
细节还是有待提升,对时间的把握还是不够充分,选填到底应该做多长时间才行,我的建议就是能做多短就做多短,不会就跳题,先把大题的分都拿到,回过头来自然有信心拿选填的分,就算是前三个题没思路也给我跳!每次都是前三个题出毛病。
卷四¶
选择题¶
- \(\arctan x\) 的泰勒公式
\(\tan x\) 是正切,所以正
\(\tan x = x+\frac{1}{3}x^2+o(x^2)\)
\(\arctan x = x-\frac{1}{3}x^2+o(x^2)\)
正弦是正,反正弦是负
\(\sin x = x-\frac{1}{6}x^3++o(x^3)\)
\(\arcsin x = x +\frac{1}{6}x^3 + +o(x^3)\)
-
拉中的运用 $f(x+1) -f(x) = f'(\xi) $
-
同区间的定积分比较的大小
-
分部积分
-
极坐标的交换积分次序
-
微分方程解的结构
-
构造关系,求导即可
-
非齐次有解的充要条件:系数矩阵和增广矩阵同秩
-
推出 \(\alpha^T\beta = 0\) ,同时说明 \(\alpha\) 和 \(\beta\) 正交且线性无关。
我们可以得出结论:矩阵和转置矩阵,属于不同特征值的特征向量正交
- 可相似对角化的充分条件是 代数重数等于几何重数。若不能相似对角化的相似,相同特征值对应的几何重数应该相等。
填空题¶
-
定积分的定义,刚开始硬算的,算完才知道等于零,又检查了一下是不是奇函数QAQ
-
连续求导,找规律
对方程两边求导,得 $$ f'(x) = e^{-f(x)} $$ 即 \(e^{f(x)} f'(x) = 1\) ,两边同时积分,得 \(e^{f(x)} = x+c\) ,即 \(f(x) = \ln(x+c)\)
这步转化太妙了,积累一下。
-
求导分析函数性态即可
-
参数方程形式求渐近线,注意 \(x \ \to \infty \Longrightarrow t \to -1\) ,一定不要带着 \(x\) 就直接上去莽了
-
绕极轴的旋转体体积计算
直接上基本公式 $$ 2\pi\iint y \,\,d\sigma $$ 然后再转换成极坐标形式,注意不要忘记 家可比 \(r\) 哦 $$ 2\pi\int_a^bd \theta \int_{r_1(\theta)}^{r_2(\theta)} r \sin \theta \,\,r dr $$
-
将 B 按列分块,将矩阵方程转化成相似的形式,进而求出特征值
解答题¶
-
拉中的应用
-
硬凑导数即可
微分方程题,做完也再检查一遍!
-
条件极值,拉格朗日数乘法
-
计算错误二重积分的计算,又又又计算错了以后做二重积分题目,做完再算一遍,保证正确率!
-
解析几何 + 微分方程题,不会做
-
\(|A| = 0 \Longrightarrow AA^*=A^*A= 0\)
即 \(A\) 的每一列都是 \(A^* x=0\) 的解
\(A^*\) 的每一列都是 \(Ax=0\) 的解
二重积分和微分方程的题目做完了再检查一遍,一定要保证会做的题目都拿到分啊!
卷五¶
选择题¶
-
渐进线的求法,在分母为零的点上和正负无穷处
-
先将 \(\ln\sqrt{x^2+t^2}\) 化简为 \(\frac{1}{2} \ln(x^2+t^2)\)
-
不会
注意到在 \(x \in(0,\frac{\pi}{2})\) 上,\(\cos x\) 单调递减,\(\sin x\) 单调递增,同时有不等式 \(\sin x <x < \tan x\)
进而有 \(\cos (\sin t) > \cos t\) ,(外层函数单调递减,内层函数越大反而整体越小)
即 \(I_1 > 1\)
直觉上 \(I_2=I_3\) ,注意到外层函数是相同的,内层函数一个从大到小变化,一个从小到大变化,走过的预期是完全对称的,所以积分相等。数学上采用区间再现的方法说明 \(I_2\sin(\cos t) \xrightarrow{u=\frac{\pi}{2}-t} \sin(\sin t)=I_3\)
-
注意到解的形式为 \(y=kx^3+x\) ,代入求 \(k\) 即可。
-
隐函数存在定理,偏导分母不为零
-
选择题,直接验证一下 \(a=1\) 是否收敛即可
-
可微的定义
-
a,c,d 都是说的一个意思,所以选b
-
\(AA^T\) 是天然的实对称矩阵,实对称矩阵的不同特征值对应的特征向量相互正交
-
粗心出错了,直接写出 \(f(x) = (x-1)^3-1\)
填空题¶
-
极直互换
-
犯了部分取极限的错误
先给出错误做法,如下图所示
错误的原因在于 随意 ,部分取极限
正确的方法是用泰勒展开,用佩亚诺型的展开到两阶以上
-
抽水问题
-
旋转体体积的计算
-
不会
极坐标形式转化为参数方程来求解,将变量全看做是 \(r\) 的函数
也可以通过 \(\theta(r)\) 反解出 \(r(\theta)\) ,然后再利用极坐标系下的弧长公式,不过这个题不能算QAQ
-
行列式的定义题
解答题¶
-
极限的计算
-
注意到 \(f(x)\) 可导,所以先求导,再令 \(x=-x\) ,两个关系式结合求出 \(f(x)\) 来
-
多元微分的换元
-
数列的单调有界准则,有界性通过递推关系 + 数学归纳法易得:\(x>0\) 。单调性通过 \(x_{n+1}=f(x_n)\) ,通过求导 + 判断前两项大小,得出单调递减,进而得到存在极限
-
考点不清楚考察反三角的代换问题,
注意 \(\arcsin x\) 在 $(-\frac{\pi}{2},0) $ 和 \((0,\frac{\pi}{2})\) 对应的反函数是不同的,
前者是 \(\pi -x\) ,后者是 \(x\) 。因为前者要偏移一个区间长度。
-
正交变化。
卷六¶
选择题¶
- 导数的定义
- 变上限积分的可导判断
- 数形结合
- 二阶常系数齐次微分方程,写出通解,然后用 \(f'(x)\) 和 \(f''(x)\) 将 \(f(x)\) 表达出来再积分
- 逆用牛莱公式
- 极直互换
- 求特解,微分算子发
- 易得 \(r(A) = 2= a\) ,根据行列式 = 0,和 \(r(A) = r(A,\beta)\) 确定三个参数的值。)好像只通过行列式为零就能确定QAQ
- 范德蒙行列式,易得 \(r(A) = 3\) ,且四秩相等
- 正定二次型,\(Ax=0\) 只有零解,即 \(r(A)=n\)
填空题¶
- 极限的计算
- 反函数,利用taylor公式和等价无穷小化简,切记不要部分取极限
- 多元微分求导
- 函数在一个区间内的平均值为:\(\frac{\int_a^b{f\text{(}x\text{)}dx}}{b-a}\)
- 弧长的计算,注意对 \(y\) 求导
- 易得 \(r(A) = 1\) ,不是可逆形式的二次型问题,如果要求具体的可逆矩阵的话,所以只能采用配方法的方法来写
解答题¶
-
掌握不扎实极限形式的积分,通常要夹逼放缩 -
多元微分,好复杂的过程QAQ
-
抽水问题
-
二重积分的对称性,关于 \(y=x\) 对称和关于 \(y=-x\) 对称
-
微分方程题,第二问极限要三角换元,然后点火
-
简单题,正定二次型为零,有两种思路,第一个是用配方法然后解线性方程组,第二种就是正交变化,求 \(x=Qy\) 中的 \(Q\) 即可。
李林四套卷¶
卷二¶
选择题¶
-
等价无穷小 + 等式脱帽法
-
只能在端点取到最大值
-
在闭区间上是可导的,所以整个区间一定存在最值,由边界处的导数可以判断,端点不是最大值,开区间中存在极大值,在这里也是最大值
-
\(I_1 = \frac{\pi}{2}I_2\) ,\(I_3\) 通过区间再现和 \(I_2\) 比较大小
-
偏导的定义,采用一重极限的方式书写
-
积分因子法秒杀
-
二重积分的几何意义,是曲顶柱体的体积,然后转换为极坐标即可
-
考察初等矩阵
-
\(AA^* = 0\) 时,\(A^*\) 的每一列都是 \(Ax =0\) 的解
-
\((AB)^T = B^TA^T=BA \ne AB\) ,无法说明是可交换的。
\((A+B)^T=A^T+B^T=A+B\)
填空题¶
- 这里犯了部分取极限的错误:\(\xi_n = \frac{\pi}{4}-\frac{1}{2n}\) ,进而 \(y(\xi_n)=\tan^n(\frac{\pi}{4}-\frac{1}{2n})\) ,我直接代入 \(\xi=\frac{\pi}{4}\) 了,寄
- 求拐点的法线的方程
- 存在奇点的反常积分,奇点处要求极限
- 用积分因子法解出 \(y(x)\) ,因为是绕 \(x\) 轴旋转,所以不用考虑在 \(x\) 轴上方还是下方
- 积分区域关于 \(y=x\) 对称
- 将所有列加到第一行就能提出一个 \(a\) ,注意在计算行列式时,注意正负号。
解答题¶
- 等价无穷小
- 去绝对值求导即可
- 二重积分的计算:极直互换
- 构造辅助函数,连续求导
- 直接构造辅助函数:\(g(x)=\int_0^xf(t)dt-f(0)x-f(x)\)
- 因为相似且 \(A\) 是实对称矩阵,所以能相似对角化
卷三¶
选择题¶
-
等价无穷小的比阶
-
参数方程求导
-
--
-
由 $f'(x) < f(x) $ 可得 \(f'(x)-e^x <f(x)-e^x\) ,进而有 \([e^{-x}(f(x)-e^x)]'<0\) ,所以 \(e^{-x}(f(x)-e^x) < e^0(f(0)-1) =0\) ,所以 \(f(x) <e^x\)
答案中给出的方法:
易得 \([e^{-x}f(x)]' < 0\) ,所以令 \(g(x) = e^{-x}f(x)\) ,进而有 \(g(1) \le g(x) \le g(0)\) ,即 \(f(x) <e^x\)
-
具体点的偏导数值可以用定义法
-
幂函数的大小比较:当 \(x \in (0,1)\) 时,\(x < \sqrt{x} < x^{\frac{1}{3}}\)
-
微分方程解的结构
-
\(r(A) = n-1\)
-
--
-
\(A=E - \alpha\alpha^T\) ,两边同乘 \(\alpha\) 得 \(A\alpha = 0\) ,所以 \(r(A) \le 2\) 进而 \(r(A^*) = 1或0\) ,然后将 抽象的 \(\alpha\) 具体化,令 \(\alpha = (0,0,1)^T\) ,求解得
填空题¶
- 定积分的定义
- 弧长的计算
- 可微的定义
- 求导分析函数性态
- 一阶线性微分方程
- 计算题
解答题¶
-
参数方程求导
-
题目印刷错误,原题应为 \(|x^2-y^2|e^{-x^2-y^2}\)
-->\((x^2-y^2)e^{-x^2-y^2}\)
绝对值一般处理方法:
- 去绝对值分类讨论 (多元微分中显然不合适)
-
直接去绝对值:\(|g(x)| \le k\)
-->\(-k\le g(x) \le k\) -
解微分方程得 \(f(x) = x\sin x\) ,然后就是 类周期函数的一系列操作
-
利用对称性化简,直角坐标下解不出来,考虑极直互换
-
正交矩阵的性质:\(A^T=A^{-1}\) ,\(|A|^2=1\)
卷四¶

若在零处分母为零且分子为零,采用极限的方式来求 $$ \frac{dy}{dx} = \frac{3t^2+2t}{1-\frac{1}{1+t}} = 3t^2+5t+2 $$
张宇四套卷¶
卷一¶
选择题¶
-
等价无穷大的计算
-
脱帽法
-
构造两个函数,分别求导分析
-
微分方程解的结构
-
收敛性的判断,\(\sqrt{x^3+x}\) 趋于无穷时是 \(x^{\frac{3}{2}}\) ,趋于零时是 \(x^{\frac{1}{2}}\)
-
构造变上限积分函数,\(F(x) = \int_0^xf(x)dx\)
-
可微的定义,注意分母是 \(\sqrt{(x-1)^2+(y-1)^2}\)
-
由于 \(r(A) = r\) ,则 $Ax = 0 $ 的基础解析含有 \(n-r\) 个解向量,将这 \(n-r\) 个解向量作为 \(B\) 的列,其余列取 \(0\) ,则有 \(r(B) = n-r\) ,且\(AB=0\)
$CA = 0 --> A^T C^T = 0 $,这样就转换为了 \(A\) 选项
A 对 B 也对,排除A,B ,C 是三个秩为 \(r\) 的矩阵相乘结果的秩可能为 \(r\) ,D 感觉没什么确定的结果
-
可以推出 \((E-B)(A-E)=0\) ,进而得出 \(r(E-B) + r(A-E) \le 3\),所以 \(r(A-E) \le 1\) ,即 \(\lambda = 1\) 至少是 \(A\) 的二重特征值,又因为 \(A\) 不可逆,所以 \(\lambda = 1\) 是二重特征值,\(\lambda = 0\) 是一重特征值
-
分别求出 \(A\) 和 \(B\) 的特征多项式,然后求解特征值对应的几何重数即可
填空题¶
- taylor级数展开求高阶导,然后定积分的定义
- 将 \(v,u\) 转换成 \(x,y\) 的函数,结果中不应该再出现 \(u,v\)
- 参数方程求二阶导
- 微元分析法,注意这里的 \(S\) 并不是 \(\pi r^2 dy\) ,而是 \(2rdy\)
- \(y=-x\) 将区域 \(D\) 划分为两个区域,一个关于 \(x\) 轴对称,另一个关于 \(y\) 轴对称
- 利用 \(A^*=|A|A^{-1}\) 公式 ,求出 \((B-2E)^*\) 的具体矩阵
解答题¶
-
极限计算题
-
无条件极值
-
【张宇四套卷·卷一】

基本思路:先计算出一个周期内的积分,然后计算出第 \(k\) 个周期的积分,然后累加。
解题步骤:
一个周期内的积分为 \(A=\pi \int_{k\pi}^{(k+1)\pi} f^2(x) dx = \frac{\pi}{8}(1-e^{-2\pi})e^{-2k\pi}\)
累积所有周期的积分为:\(\sum = \frac{\pi}{8}(1-e^{-2\pi})[1+e^{-2\pi} + e^{-4\pi}+\cdots] = \frac{\pi}{8} (1-e^{-2n\pi})\)
等比数列求和公式: $$ S= \frac{a_1(1-q^n)}{1-q} $$
-
分成三个区域进行积分。
-
不会QAQ
-
我的思路是利用公式 \(AA^*=|A|E\) ,得出 \(A = (A^*)^{-1}\) ,然后求出相似对角化求高阶幂。
卷二¶
选择题¶
-
$f(x) - \frac{1}{2} = \frac{e^{x}-1-x}{(e^{x}-1)x} -\frac{1}{2} $ ,犯了部分取极限的错误,应该先通分再等价无穷小的
-
抓大放小
-
简单题
-
易得出 \(b_n\) 单调递减, \(a_n\) 单调递增,进而 \(b_n\) 单调递减有下界, \(a_n\) 单调递增有上界
\(A = \frac{A+B}{2} \Longrightarrow A = B\)
-
微分方程解的结构
-
\(x^2+y^2-1>\ln(x^2+y^2)\) ,\(x^2+y^2<1\)
-
多元函数的换元
-
通过行列式计算得到 \(B\) 是可逆矩阵,所以非齐次有唯一解
-
合同矩阵的定义
-
列向量组等价能推出矩阵等价,也可以做初等行变换证明等价 $$ r(A|B ) = r(A) = r(B) $$
填空题¶
-
换元解出极限,然后凑微分积分
-
简单题
-
有点怪的积分 $$ \begin{align} \int \frac{e^x(1-x)}{(x-e^x)^2} dx = \int \frac{1}{(1-\frac{e^x}{x})^2} d(1-\frac{e^x}{x}) \end{align} $$
-
偏积分计算题
-
二重积分计算题
-
不能相似对角化,求一下几何重数即可
解答题¶
-
解微分方程,旋转体体积的计算
-
先做一个换元,将根号去掉 \(x = t^2\) ,然后化简求导分析。

基本思路:分离参数构造辅助函数,分类讨论(\(x>1\) 和 \(x<1\) )的情况
做题套路:把所有不舒服的条件转化成舒服的
- 将 $t = \sqrt{x} $
- 因为 \(x-1\) 在大于1,和小于1 的情况下正负不同,乘除会改变不等号的方向,所以要分两种情况来分别讨论。
-
积累积分 \(\int \sqrt{1-y^2} dy = \frac{y\sqrt{1-y^2} +\arcsin y}{2}\) ,证明可以通过分部积分来算。
-
求旋转体体积,然后拉格朗日乘数法
值得注意的是:a = 0,b = 0 特殊情况下改变了区域 D,需要单独考虑
-
物理题不想做QAQ
-
QR分解
卷三¶
选择题¶
-
等价无穷小的估阶
-
两个同型函数作差,利用拉中
-
解微分方程,然后求导分析
-
反常积分的收敛性
-
隐函数求导
-
隐函数求导 + 微分方程
-
二重积分的计算,注意划分成两个区域,两个区域分别计算
-
利用行列式的定义计算,注意:逆序对不要漏掉
-

容易得出 A 对,B 错,C 错,同解是指 $r(B ) =r(C) = r\left( \begin{array}{c}
B\
C\
\end{array} \right) $ ,注意 \(Ax=0\) 均是 \(Bx = 0\) 的解,与同解是不同的,前者是说明解空间的维数大小关系,后者说明行向量组行等价。
D $r(A) = r(B) $ 和 \(Ax = 0\) 的解均为 \(Bx= 0\) 的解,可以说明 \(Ax= 0\) 与 \(Bx=0\) 同解,又因为 \(A^TAx = 0\) 和 \(Ax=0\) 同解,所以 \(A^TAx = 0\) 和 \(Bx=0\) 同解
四秩相等:\(r(A) = r(A^T) = r(AA^T) = r(AA^T)\)
为了讨论方便,这里我们认为 \(A\) 是 n × m
行等价:\(r(A) = r(A^TA) = r\left( \begin{array}{c} A\\ A^TA\\ \end{array} \right) =r(\left( \begin{array}{c} E\\ A^T\\ \end{array} \right)A) = r(A)\)
列等价:\(r(A) = r(AA^T) = r(A,AA^T) = r(A(E,A^T)) = r(A)\)
- 正定的特点和惯性定理
填空题¶
-
斜渐近线求法
-
找规律,答案用的牛莱公式,当时没想到,应硬莽的
-
分两段区间积分
-
偏导的计算,注意答案的格式:\(F(x) = f(x,f(x,x))\) 进而,\(dF= F'(x) dx\),不要漏掉 \(dx\)
-
二重积分,先转化成累次积分,然后利用奇偶性化简
-

我的方法是写出二次型对应的矩阵 $A $,然后求行列式为零。解析给了一种比较好的思路。直接判断线性变换不是可逆变换。

解答题¶
- 错误的认为当 \(x \to 0\) 时, $\arctan (1+x) $ ~ \(x\) ,实际上应该是 \(\lim\limits_{x\to 0}\arctan (1+x) =\frac{\pi}{4}\)
- 无条件极值和条件极值。条件极值运用拉格朗日乘数法,属于齐次性,将最值转换为 \(\lambda\) 的取值,通过齐次方程有非零解,即系数矩阵行列式为零得出最值。
- 根据条件列方程,然后计算旋转体体积
- 考察二重积分的中值定理
- 第一问是零点定理,第二问是连续用两次罗尔定理。
- 不可相似对角化的两个矩阵相似,不会QAQ
卷四¶
选择题¶
可能存在的间断点位置是 \(0,1,2,-2\) ,我漏掉了 \(1\) ,寄
-
简单题
-
考察 \(e^{\infty}\)
-
\(y=(x-1)^2(x-2)^2(x-3)^2\) 存在五个极值点,四个拐点。穿线法画出草图即可。
-
直接令 \(a=1\) ,求出比值
-
可微的定义
-
好像超纲了,这里只给出解为 \(a+bi\) 所对应的方程:\((r-a)^2+b^2=0\)
-
确定 \(A\) 和 $B $ 的秩即可
-
谱分解
-
\(A\alpha = \lambda\alpha\) 任意 \(n\) 维向量都是特征向量
-->\((A-\lambda E)x = 0\) 的解空间的维数是 \(n\) 维,\(n-r(A-\lambda E)=n\) ,进而得到 \(A=\lambda E\)
填空题¶
-
等价无穷小,利用taylor,注意不要部分取极限
-
隐函数公式法求导
-
不定积分的计算,不要忘记常数 \(C\)
-

这道可微出的很好
说几个容易出错的地方,注意这里的 \(Z\) 并不是 \(f(x,y)\) ,而是 \(Z=f(x,f(x,y))\)
因为是趋向于 \((1,1)\) 的微分,所以先要改写一下 $$ \lim_{(x,y) \to (1,1)} \frac{f(x,y)-2(x-1)-3(y-1)-1}{\sqrt{(x-1)^2+(y-1)^2}} \cdot\frac{1}{\sqrt{(x-1)^2+(y-1)^2}} =2 $$ 进而得到 \(f(1,1)=1\) ,\(\frac{\partial f}{\partial x} = 2\) ,\(\frac{\partial f}{\partial y} = 3\) $$ \begin{align*}
\frac{\partial z}{\partial x} &= f_x+f_y \cdot f_x = 8\ \frac{\partial z}{\partial y} &= f_y \cdot f_y = 9 \end{align*} $$
-
二重积分的计算
-
反对称矩阵的几个考点
- \(A = -A^T\)
- \(a_{ii} = 0\)
- \(tr(A) = 0 = \sum \lambda\)
- \(|A| = 0\)
解答题¶
-

求极值的方法:首先求出驻点和不可导点(即 \(f'(x) = 0\) 和 \(f'(x)\) 不存在的点),然后考察这些点两侧的 \(f'(x)\) 得符号,由极值的第一充分条件判定 。
一定要注意不可导点,不要忽略极值的第一充分条件不需要 \(x = x_0\) 处可导,即 不可导点也可以用该条件判断

-
用脱帽法证明导数存在
-
偏导数的计算
-
积分区间是 \(\frac{1}{4}\) 圆,然后极直互换即可
-
第一问柯西中值定理
第二问放缩然后夹逼准则
-
加加减减凑特征向量
合工大超越五套卷¶
卷一¶
选择题¶
-
考察高斯函数这个类周期函数和间断点的判断
-
相同积分区间比较几分大小
-
因为函数是连续的,所以不可能存在单点是可去间断点的情况,而且是闭区间连续,端点也不会突变
-
先判断极限类型:\(\infty \cdot 0\) 型,先转换为 \(\frac{0}{0}\) 型,然后洛,估阶
-
渐近线的求法,这里注意当 \(x \to 0\) 时先大体估计一下,不要着急taylor展开,这里代入 \(0\) 得 \(\frac{1}{0}\) ,直接确定是垂直渐近线
-
偏导数的计算。
-
极直互换,注意积分区域要画准确。
-
将向量组转换成矩阵的形式,利用矩阵的秩进行判断
-
同解问题
-

将广义初等行变换转换为初等行变换
不妨令 \(A_1 = 2 ,A_2=3,E=1\) ,此时矩阵转化为 $\left( \begin{matrix} 2& 1\ 1& 3\ \end{matrix} \right) $,此时符合正定矩阵。
对应的选项也转化为 \(A_1>0,A_2>0,A_2-A_1^{-1}>0,|A|=|A_2-A_1^{-1}|\)
所以选
D
填空题¶
-
求在 \(1\) 处的高阶导数,只能考虑牛莱公式
将函数 \(f(x) = (x^3-1)^n(\arctan x)^2\) 转换为 \(f(x) = (x-1)^n(x^2+x+1)^n (\arctan x)^2\)
令 \(g(x)= (x^2+x+1)^n (\arctan x)^2\) ,则 \(f(x) = (x-1)^ng(x)\)
然后利用牛莱公式即可,注意到当 \(k \in(0,n-1)\) 时, \([(x-1)^n]^{(k)} = 0\)
所以 \(f^n(1)= C_n^n [(x-1)^n]^{(n)} \cdot g(1) = n! \cdot 3 \cdot {(\frac{\pi}{4})}^2\)
-
定积分的计算
-
隐函数求偏导
-
极直互换
-
可降阶的微分方程
-
简单题
解答题¶
- 解微分方程
- 不定积分的计算
- 拉格朗日数乘法
- 求导分析题
- 划分积分区域的二重积分
- 常规题
卷二¶
选择题¶
- 等价无穷小
- 周期函数积分的计算
- 分离参数,注意当 \(x \to 1\) 时是分母等于零的时候,取极限算他的值
- 考察不等式 \(\sin x<x < \tan x\) ,然后取个反函数
- 有亿点计算量,完全可以出一道大题
- 可微的判断
- 二重积分比较大小
- \(A^*\) 的秩为一,且是对称矩阵,所以 \(A^*\) 的所有元素都相同
- 同上,\(|A| = 0\) 时,\(AA^*=0\)
- \(A 和 A^T\) 的特征值相同,特征向量不同
- 分别考虑 \(A^*,A^2\) 为零矩阵的时候,表格逆过来就不适用了
填空题¶
- 周期函数的积分
- 积分的定理
- 偏积分
- 交换积分次序
- 物理题
- 考察初等变换
解答题¶
-
数列极限的方法
- 数学归纳法
- 单调有界准则
- 压缩映像法
-
求导分析函数性态
-
无条件极值
-
中值极限,对 \(f(x_0+h)\) 和 \(f'(x_0+\theta h)\) 进行taylor 展开
-
二重积分的偏心圆
- 广义极坐标
- 极坐标
- 直角坐标
-
实对称的不同特征值的特征向量互相正交,相同特征值的特征向量不一定正交,所以才有了正交化。
第二问是常规的正交变换
第三问利用 正交变换保模长不变
卷三¶
选择题¶
-
考察反常积分收敛的判断
-
考察等价无穷小的估阶
-
考察 \(x^\infty\) 这一分段函数在 \(x=1\) 附近的情况
-
构造函数 \(f(x) = 2x^2 - \int_0^{x^2} |\sin t| dt - 1\)
函数为偶函数,先考虑大于零的部分,求导得 \(f'(x) = 4x -2x |\sin x^2| > 2x>0\)
通过零点定理说明存在一个零点,又因为单调,进而有且仅有一个零点。
小于零的部分,因为是偶函数,所以也有一个零点
-
通过连续就排除了三个选项...
-
等式脱帽法和偏导数的定义
-
累次积分交换积分次序
-
$Ax = 0 $ 和 \(Bx = 0\) 有非零公共解,所以特征值为零时,有公共的特征向量
-
基础解系线性无关,判断一下就完了
-
取特殊值 \(n=2\)
填空题¶
-
定积分的计算
-
微分方程解的结构
-
无条件极值
-
二重积分的计算
-
旋转体的体积
-
\(r(A+E) \le 2\) ,所以 \(|A+E| = 0\)
解答题¶
- \(\arctan x = x-\frac{1}{3}x^3+\frac{1}{5}x^5+O(x^5)\)
- 简单题
- 偏导和微分方程的综合题
- 考察零点定理和罗尔定理
- 二重积分的计算
- 常规正交变换题,实对称矩阵的正交变换可以采用谱分解定理来反求矩阵 \(A\) 。
卷四¶
选择题¶
- 用 \(a^n-b^n\) 展开
- 求导即可
- 星型线
- 简单题
- 变上限函数的可导性,判断函数是否连续即可
- 偏导的计算
- 累次积分交换积分次序
- 正定二次型:\(a_{ii}>0\)
- 实对称矩阵,很好的条件
- 简单题
填空题¶
- 参数方程求导
- 微分方程解的结构
- 导数的定义和偏导的定义
- 二重积分的定义
- 分部积分
- 简单题
解答题¶
-
反常积分,先看看是否存在奇点。
-
考察压缩映像,同时要同时说明奇子列和偶子列都收敛于同一个值,才能说明极限存在
-
无条件极值,纯算题
-
代入求解就完了
-
好复杂的一个二重积分

可以转化为一个圆套小圆的问题,大圆采用极坐标的方法,小圆采用广义的极坐标

-
常规题
卷五¶
选择题¶
- 渐近线:在分母为零的情况才会有垂直渐近线,在无穷时为水平/斜渐近线
- 等式脱帽法
- 弧长度
- 极值的判断
- 极值判断的第三个充分条件
- 偏导的定义
- 二重积分计算题
- 满足系数矩阵和增广矩阵的秩相等即可
- 最简单的正交矩阵:\(E,-E\) 直接锁定
D选项 - 简单题
填空题¶
- 极限的运算
- 曲率的计算
- 偏导的计算
- 二重积分的计算
- 积分的计算
- 简答题
解答题¶
- 极限的计算,taylor 展开即可
- 求导分析函数性态
- 偏导的证明,充分性先令 \(\frac{\partial u}{\partial x}\ =\ h\text{(}x,y\text{)}\)
- 两次拉中
- 二重积分计算题
- 实对称矩阵,可以谱分解
余丙森五套卷¶
卷一¶
选择题¶
-
等价无穷小
-
错误
3 当 \(n=1\) 时显然错,1 是对的,2 是什么意思没看懂,4 居然是可积分的函数QAQ,没想到叭
-
反常积分的收敛
-
做一个换元 \(y=y+x , x=x\)
-
简单题
-
一点处的二阶偏导数存在,只能说明在这个方向上的一阶偏导是连续的,不能说明所有方向上的一阶偏导都是连续的
-
做题时有个选项没搞清楚
先证明一个结论 \(\int_0^{\frac{\pi}{2}} f(\sin x) dx = \int_0^{\frac{\pi}{2}} f(\cos x) dx\)
$$ \begin{align*} \int_0^{\frac{\pi}{2}} f(\sin x) dx \xlongequal{区间再现} \int_0^{\frac{\pi}{2}} f(\cos x) dx
\end{align*} $$
$$ \begin{align} \int_0^{\pi} f(\sin x) dx &= \int_0^{\frac{\pi}{2}} f(\sin x) dx + \int_{\frac{\pi}{2}}^{\pi} f(\sin x) dx \ &= \int_0^{\frac{\pi}{2}} f(\sin x) dx + \int_{0}^{\frac{\pi}{2}} f(\cos x) dx \ &= 2\int_0^{\frac{\pi}{2}} f(\sin x) dx \end{align} $$
要注意 \(\sin(x+\frac{\pi}{2}) = \cos x\) ,是要看 \(x+\frac{\pi}{2}\) 的 \(sin\) 的取值,而不是 \(cos\) 的取值,符号看象限~
-
简单题
-
错误
线性表示的方法通过利用矩阵乘法来记忆。
对于 D 选项
$$
[n× n] \cdot [n×1] = [n×1]
$$
所以 C 的行向量组可以由 B 的行向量组线性表示,但是说明不了 \(r(B) = r(C)\) ,只有行向量组等价即行向量组相互线性表示才能说明矩阵等价,进而才能推出 \(r(B) = r(C)\)
对于 C 选项
B 是 m × s
任何矩阵的行秩=列秩=矩阵的秩
此时 B 列满秩,可以得出 \(r(B) = s\) 两个矩阵相乘只能保证不降秩,所以 \(r(A) \ge s,r(C) \ge s\)
又因为 C 是 n × s,所以 \(r(C) \le s\) 进而 \(r(C) = s\) ,即 C 列满秩
同样的思路可以推出 D 选项中 A 的行向量组线性无关。
- 矩阵方程转化为线性方程组
填空题¶
- 令 \(f(x) = (x-3)^3 g(x)\)
猜的两个点之间会有一个根,结果是 99- 简单题
- 简单题
错误含积分变量的变上限函数一定要先换元- 简单题
解答题¶
T17. 不会做啊
T18. 计算错误
T21. 在中值定理中碰到变上限积分,不妨先构造一个原函数将变上限表示出来hh
第二问出的是,构造函数在取到最值的两个点展开,用零点定理解题。
T22. 注意一些书写过程
卷二¶
选择题¶
T6
A :考虑幂函数 \(f(x) = x^a\) ,当 \(a>=1\) 是显然极限存在,但 \(a<1\) 时极限为无穷
B :考虑幂函数和三角函数的结合。 $f(x) = x+ \sin x $
C :\(f(x)\) 的变化趋势和 \(f'(x)\) 的变化趋势没什么关系。
D :我觉得可以直接洛必达。
T7
注意当 \(x=-1\) 时并不是极值,\(x = - 1\) 是属于第二个区间里面的,\(f(-1) = 0\)
卷三¶
选择题¶
T8.
\(AB=0\)
说明\(AX=0\)有解B,B属于\(AX=0的\)解空间
\(AX=0\) 的 解空间的维数 等于 \(n-R(A)\)
所以 \(R(B)\le n-R(A)\)
即 \(R(A)+R(B)\le n\)
这类题目通过 解空间的维数来解题,下面给出示范
$n-r(A) > 0 $ 并且 \(n-r\left( \begin{array}{c} A\\ B\\ \end{array} \right) = 0\) 得出 \(r\left( \begin{array}{c} A\\ B\\ \end{array} \right) = n ,r(A)<n\) ,由此并不能得出 $r(B) = n $
\(A\) 和 \(B\) 刚好互补,且 \(A,B\) 均不满秩时即可满足题设
T10.
基础公式
$$
r(A+B) \le r(A) + r(B)
$$
填空题¶
T14.

注意 \(e^x \sin x\) 对应的根是 \(1+i\) ,转换成原方程就是 \((x-1)^2+1=0\)
更一般的 \(e^{ax} \sin bx\) 对应的根是 \(a+bi\) ,转换成原方程就是 \((x-a)^2 + (\sqrt{b})^2 = 0\)
T16.

忘记系数前面的 \((-1)^{n+m}\) 了QAQ
本题属于海森堡型行列式行列式,按 “下标最大元素所在的列” 展开 (目的是:不破坏下标最小的元素,便于递推)
卷四¶
选择题¶
T9
考察的是特征值和特征向量的对应关系。
只要满足每一列是对应那一列那个特征值对应的特征向量就可以,属于不同特征值的特征向量线性组合不是特征向量
然后属于同一个特征值的自由组合也还是
同时要注意 Q 是可逆的,最后选出 D
$$ \begin{align} \alpha x^T = x \alpha^T \ 进而 (\alpha x^T)^2=x \alpha^T\alpha x^T \ 所以有f = xA^TAx^T \end{align} $$ 又因为 四秩相等,所以 \(r(A^TA) =r(A)\)
填空题¶

居然有考察算不定积分的QAQ
要注意最后的形式。 $$ \left{ \begin{array}{l} x\ln x +C,0 < x<1\ \frac{1}{2}x^2 - \frac{1}{2} + C, x\ge 1\ \end{array} \right. $$ T15.

参数方程求二阶导的问题
计算出错了这个题。
解答题¶
T19.

左脚踩右脚,无穷阶可导。
用两个式子消掉一个,先求出来 \(f(x)\) ,再求 \(g(x)\)
T20.

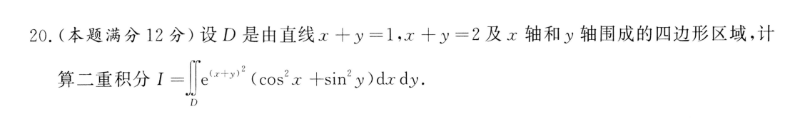
首先用对称性化简,得 \(\iint e^{(x+y)^2} d\sigma\)
然后后做一个常规换元 \(u=x,v=x+y\)
然后发现是个不可积的积分,\(2\int_1^2 e^{v^2}dv\)
仔细检查后没发现错误,于是 极直互换 转变思路,最终解得。
如果思路没有问题的话,就联系这个题的考点,转变方法,不要在一棵树上吊死,灵活的选择。
T22.

易得出 \(A P= PB\) ,即 \(B= P^{-1}AP\) 然后再求 B 的特征向量,得出 \(Q^{-1}B Q = \land\)
注意这里 \(Q\) 是 \(B\) 的特征向量,并不是 \(A\) 的 $$ Q^{-1}B Q = Q^{-1}P^{-1}AP Q = {(PQ)}^{-1}AP Q $$ 这里的 \(PQ\) 才是 \(A\) 的特征向量,一定要注意
每一步都要有依据,且一一对应,不要自己以为怎么怎么样。
卷五¶
选择题¶
-
题目中说 存在二阶导数 ,就意味这要用二阶导数的定义或者泰勒
-
奇函数 \(f(x)\) 自带一个条件 \(f(0) = 0\) ,变上限函数 \(F(x) = \int_0^xf(t)dt\) 也是自带一个条件 \(F(0) = 0\) ,
浪费时间有点多了,注意先把题干给出的条件都描述出来,没思路先用特殊值猜一个答案/排除一个答案 -
几何上易得,数学上证明就是作差,分区间讨论。
-
含参的变上限积分先做换元。
-
中值极限,对 \(\xi\) 利用导数的定义再求一次导,
基本方法不够熟练。 -
微分方程的结构,
基本方法不够熟练。 -
导数的定义
-
前面浪费太多时间,导致后几个线代题粗心了

首先对 \(A+E\) ,\(A-E\) ,\(A-2E\) 的特征值进行分析,只有第二个不为零。
进而 \(r(A+E) \le 2 ,r(A-E) = 3,r(A-2E) \le 2\)
因为代数重数始终大于等于几何重数,几何重数就是解空间的维数
对 \(\lambda = -1\) 时,即 \(A+E\) , \(2 \ge 3-r(A+E)\)
对 \(\lambda = 1\) 时,即 \(A-2E\) , \(1 \ge 3-r(A-2E)\)
因为不能相似对角化,所以说 存在 代数重数大于几何重数
且易得出 \(r(A-2E) = 2\) ,几何重数和代数重数相等
所以 \(\lambda = -1\) 时,有 \(2 > 3 -r(A+E)\) ,进而 \(r(A+E)= 2\)
\(r(A) = n\) , \(A\) 是列满秩的、
A 四秩相等,所以 \(r(A^TA) = r(A) = n\) ,进而 $n-r(A^TA) =0 $,解空间的维数为零,所以无解
B \(r(A^TA) = n\) ,非齐次线性方程组有唯一解
C 这是个线性方程组的问题,因为 \(A\) 是列满秩,且 \(m>n\) ,所以可以通过列变化使得 $A --> \left( \begin{array}{c}
E_n\
O\
\end{array} \right) $ ,方程组右边是 \(E_m\) ,低维表示不了高维,所以无解
D 同解就是 $r(B ) =r(C) = r\left( \begin{array}{c}
B\
C\
\end{array} \right) $
-

\(A= (\alpha_1+\alpha_2,\alpha_2+\alpha_3,\cdots,\alpha_{n-1}+\alpha_n,\alpha_n+\alpha_1)\)
注意到 n 为奇数时,线性无关,n 为偶数时线性相关,为偶数时应该是前面的加加减减正好表示最后一项。
A此时 \(r(A) = n\) ,对应非齐次方程有唯一解B此时 \(\beta = 0\) 且 \(r(A) = n -1 < n\) ,对应的线性方程有无穷多解C非齐次有解即系数矩阵的秩和增广矩阵的秩相等,当 n 为奇数恒有唯一解,当 n 为偶数时,只有齐次才有解。D无解的情况,只有在 n 为偶数且非齐次的情况下才五解
填空题¶
- 简单题
- 先利用奇偶性干掉一个,然后对称性 + 和角公式 解决
- 微元分析
- 多元偏导数
-
硬解方程没有意义,直接将对 y 的积分转化成对 \(y' 和 y''\) 的积分。
-

特征值和特征向量的关系,这种题要加加减减凑特征向量,而不是凑平方,导致出错QAQ
\(A(\alpha + \beta ) = 3(\alpha + \beta )\)
\(A(\alpha - \beta )=-3(\alpha - \beta )\)
还有一个特征值 0 对应的特征向量为 \((1,1,1)^T\)
李永乐三套卷¶
卷一¶
选择题¶
- taylor展开即可
- 导数的定义
- --
- 极值点判断的第三充分条件
- 变上限函数的奇偶性
- 可微的判断,同阶一般不可微
- 二重积分比较大小,其中 \(1 = \iint 3(x+y) d\sigma\) ,而 在区域 \(D\) 上 \((x+y)^3 < 3(x+y)\) ,所以 \(I_2<1\)
- 按第一行展开即可
- 可以得到 \(\gamma = -\frac{k}{m} \alpha - \frac{l}{m} \beta\) ,所以 \(\alpha,\gamma\) 可以用 \(\alpha,\beta\) 表示;同理 \(\alpha = -\frac{l}{k} \beta- \frac{m}{k} \gamma\) ,所以 \(\alpha,\beta\) 可以用 \(\alpha,\gamma\) 表示,进而两个列向量组等价。
- 利用特征值判断即可。
填空题¶
- 题目感觉出的不是很严谨,并没有说在任一点上都可导。。
- 我的方法是,先求一阶导然后构造出一阶线性微分方程,然后再利用牛莱公式求高阶导。
- 凑微分
- 区间再现
- 反三角函数的区间特点。
- 简单化简
解答题¶
- 旋转体体积的计算
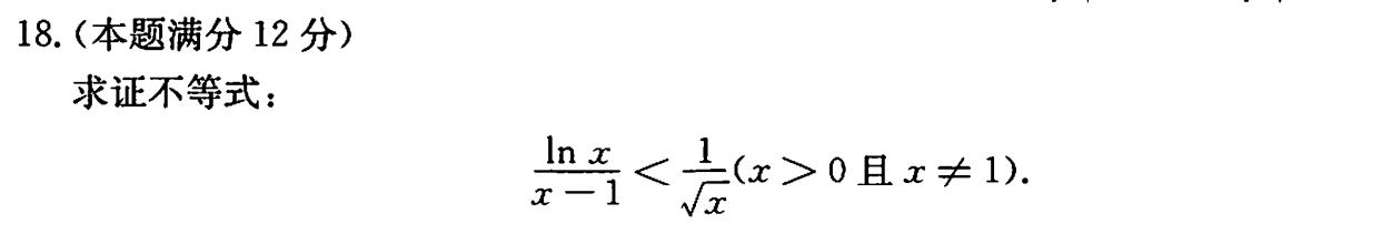
- 考察不等式 \(\frac{x}{1+x}<\ln(1+x) < x\)
- 看起来像个高中题
- 多元函数的换元
- 两个泰勒展开,并且利用导数的介值定理
- 常规题
卷二¶
选择题¶
- taylor展开即可
- 导数的定义
- 在 \(x=0,+\infty,-\infty\) 处分析
- 微分的定义
- 依据导数的定义,构造方程求 \(f(x)\)
- 求导分析即可
- 高阶比低阶,居然不是 0 QAQ
- \(r(AA^T) = m =r(A)\)
- 将 \(Q\) 表示为 \(Q=PC\)
- 合同意味着作一系列 行变换和相对应的列变换,所以一定等价
填空题¶
- 简单题
- 分区间求累加即可
- 简单题
- 多元函数的偏导
- 二重积分的计算
- \(AA^* = 0\) ,所以 \(A^*\) 的每一列都是 \(Ax=0\) 的解,然后再根据秩的对应关系解得。
解答题¶
- 极限的计算,taylor展开即可,注意:不要部分直接取极限
- 求导分析即可
- 不定积分的计算,凑微分
- 解析几何题目,没做
- 分段函数的积分
- 常规题
卷三¶
选择题¶
- 无穷小比阶
- 反常积分收敛
- 微分方程解的结构
- 构造函数 \(F(x) = [\int_0^x f(t) dt]^2\) ,求导得 \(F'(x) = 2f(x) \int_0^x f(t) dt=2h(x)\) , 所以 \(F'(x)\) 单调不增,且 \(F'(0) = 0\) ,所以 \(F(0)= 0\) 有可能取到极大值,又因为 \(F(x) 恒大于等于零\) ,所以 \(F(x) =0\) ,进而 \(f(x)=0\)
- 偏导数的计算
- 注意区间范围是 \((0,h)\) ,而不是 \((0,H)\),因为积分部分是 \(W=Gh\) 中的 \(G\) ,\(G\) 单位高度内的体积不是不变的,只是提升的高度不同。
- 极值互换
- 考察 \(A\) 和 \(A^*\) 的对应关系
- 合同但不相似说明,正负惯性指数相同,但是特征值不相同
- 合同变换,确定正负惯性指数即可。也可以采用配方法
填空题¶
-
二重积分的定义
-
累次积分交换积分次序
-
偏导数的计算
-
taylor展开
-
弧长的计算
-

同时出现 \(AB\) 和 \(BA\) 考虑是不是可交换的。
易得 \(A(A-2B)=E\) ,进而 \((A-2B)A=E\) ,故 \(AB=BA\)
\(AB - 2BA+3A = -AB+3A = A(3E-B)\) ,且 \(A\) 是可逆矩阵
所以 \(r(AB - 2BA+3A) = r(3E-B)\)
解答题¶
-
二重积分的计算
-
多元函数求偏导
-
--
-
旋转体体积的计算
-
第一问考察 taylor 中值再积分
第二问 由第一问得出 \(|f(\xi)| >4\) ,又因为 \(\int_0^1f(x)dx = 0\) ,所以存在 \(f(c) = 0\)
由导数的介值定理,所以存在 \(|f(\eta)| = 4\)
-
容易得出 \(B^{-1} = Q\left( \begin{matrix} -\frac{1}{2}& & \\ & 1& \\ & & 1\\ \end{matrix} \right) Q^T\)
两边求逆,得到 \(B = Q\left( \begin{matrix} -2& & \\ & 1& \\ & & 1\\ \end{matrix} \right) Q^T\) ,注意这里不要想当然的写反QAQ。
进而计算 \(A\) 对应的正交矩阵即可。
22李林六套卷¶
卷六¶
选择题¶
- 连续和导数的定义,列出两个式子
- 求导判断极值
- 简单题
- 分离参数,数形结合,求导分析
方法繁琐这个题当时做的时候直接硬算了,对 F(x) 求导计算分析。其实 看到 二阶导大于零,就要联系到 凹函数,然后数形结合,用几何意义来解决更简单。思路卡壳反常积分,反常积分的收敛,当时计算到 \(\frac{(a-b)x + b}{2x^2 +bx}\) 一直在想 \(a\) 和 \(b\) 到底是什么关系呢?现在我们来考虑一下,\(a=b\) 时,\(\frac{ b}{2x^2 +bx}\) 与 \(\frac{1}{x^2}\) 的比值为 \(\frac{b}{2}\) ,题目已知 \(b\) 大于零,所以根据比较法的极限形式和 p 积分的收敛,\(p=2 > 1\) ,进而此时是收敛的。当 \(a \ne b\) 时,\(\frac{(a-b)x + b}{2x^2 +bx}\) 与 \(\frac{1}{x}\) 的 比值是 \(\frac{a-b}{2}\) ,极限是一个常数且不等于零,且 p 积分不收敛,所以此时积分发散。- 利用二重积分的对称性,880上的原题,将积分区域划分为两块,一块关于 x 轴对称,一块关于 y 轴对称。二重积分先考虑对称性和 轮换对称性 能大幅度提高做题正确率。
- 送分题,特征向量又不唯一,可逆矩阵 p 肯定不唯一啊
易错点根据不可逆就可以写出特征值,注意 \(E-2A\) 要转换为 \(2(\frac{1}{2}E-A)\) ,符合特征值的定义。- 线性方程组解的形式,考虑 系数矩阵和增广矩阵 的 秩 就好了。
填空题¶
-
极限计算题
-
方法繁琐这题估计出的有问题。但提醒了我,隐函数求导有两种方法,公式法 和 直接求导,在含有抽象函数的隐函数中,公式法会显得更加清晰,从而提高正确率。 - 旋转体的体积 ,一阶线性微分方程的求解,出的蛮好滴
- 旋转体的体积,考点重复,武佬的方法yyds
- 二重积分的极坐标交换积分次序,有两种方法:
- 区域比较好画:先 r 后 \(\theta\) 是画同心圆,先 \(\theta\) 后 r 是 引射线
- 直接将 r 和 \(\theta\) 看做 x 和 y,当做在直角坐标系下的换序
- 考察正交矩阵的特点,特征值都是 1 或 -1,这里有两点要注意
- \(|A-B| = (-1)^n |B-A|\) ,其中 n 是 A 的阶数
- \(A^T - B^T =(A-B)^T\) ,这个式子蛮重要的
解答题¶
-
方法繁琐,计算出错这里注意 \(ln(1+\frac{1}{2x})\) 的求导是比较麻烦的,但可以转化为 \(ln(2x+1) - ln(2x)\) ,这样通过简单的转换,降低了计算难度,提高正确率 -
积分题,比较容易的看出 I 要用分部积分简化。
-
易错点对于极坐标给出的积分区域,首先要确定定义域。我就是忘记了想当然的认为是在 \((0,2\pi)\) ,函数方程是 \(p^2 = \sin (2\theta)\) , \(\sin (2\theta) > 0\) 解出 \((0,\frac{\pi}{2}) 和 (\pi,\frac{3\pi}{2})\) 。而且对于二重积分的计算首要考虑的就是对称性和轮换对称性。 -
方法繁琐这里注意到是数列的极限问题,首先要先把递推公式写出来呀,你解出一个一阶线性微分方程把抽象函数 f(x) 求出来是没什么意义的,要写成 \(x_{n+1} = g(x_n)\) 的形式,然后求导,求导大于零所以数列是单调的,因为 要比较前两项的大小关系才能知道,是单增还是单减。 $$ (x_2-x_1)f'(x_1) + f(x_1) = 0 $$ 由上式可以得出 \(x_2 <x_1\) ,所以 数列单调递减。有界性的证明:导数和原函数比较大小自然要联系到 拉中 或者 taylor 中值 $$ \begin{align} x_{n+1} &= \frac{x_nf'(x_n) - f(x_n)}{f'(x_n)} \ &=\frac{x_nf'(x_n) - [f(x_n)-f(0])}{f'(x_n)} \ &= \frac{x_nf'(x_n) - x_nf'(c)}{f'(x_n)} ,其中 \,\, 0< c < x_n \ &>0 ,\,\,\,二阶导大于零 (f'(x_n) > f'(c)) \end{align} $$
-
思路卡壳第一问考察复合函数的定义域和值域的问题。第二问考察定积分定义,这里要夹逼放缩一下才能求。以后注意一下,定积分的定义不能直接求解的时候,考虑夹逼放缩。 -
第一问,用相似的必要条件,秩,特征值,特征多项式都相等。第二问只能是让 A 和 B 都做相似对角化,然后得出的矩阵 P 乘一下。如果是求原矩阵 A 的话,可以用晚晴佬的方法快速求解,这个是求可逆矩阵 P 只能用一般方法。
回顾知识点:
- 反常积分:在 onenote 总结了
- 隐函数求导:两种方法,公式法和直接复合求导.
- 常见曲线:定积分的总结
卷五¶
选择题¶
-
等价无穷小,含参积分先换元。
-
方法繁琐我的方法是一阶线性微分方程求 y(x) 。更好的方法是,两边同取极限,有 $$ \lim_{x \to + \infty} y' + a\lim_{x \to + \infty} y = \lim_{x \to + \infty} f(x) =b $$ 由选项可知 \(\lim_{x \to + \infty} y\) 是存在的,所以 \(\lim_{x \to + \infty} y' = 0\),如果不等于零的话,由拉格朗日中值定理,y 一定会跑到无穷去。
也可以用水平渐近线的思路来理解。
$$
进而有 \,\,\, a\lim_{x \to + \infty} y = b
$$
-
极坐标的换序,在第六套卷已经说过了,同心圆和引射线
-
导数的定义
-
方法繁琐,思路卡壳,计算错误直接求导分析的,还给计算错了QAQ。注意极值/拐点的第三充分条件,前几阶导都为零,\(2n\) 阶导数不等于零是极值,\(2n+1\) 阶导不等于零 是拐点。更简单的方法:特殊函数,直接令 \(f(x) = x\) -
计算错误一定要注意:积分区域要找准,其实是个物理题,计算出面积,s = s(x) ,知道 \(\frac{ds}{dt}\) ,求解 \(\frac{dx}{dt}\) ,两边同时对 t 求导就好了 -
给出\(f'(x)\) 的图像,判断 \(f(x)\)的大小,首先数形结合,根据单调性大体画出函数图像;可以逆用牛莱公式 \(f(4)-f(1) = \int_1^4f'(x)dx >0\) ,从而判断出了 \(f(1)\) 和 \(f(4)\) 的大小关系
-
直接代入算即可,先代齐次通解,再代非齐次特解
-
相似的定义,注意:实对称矩阵相似一定合同,因为实对称矩阵可以对角化,存在正交单位阵,而这个正交单位阵也可以用于合同变换
-
二次型,直接合同变换
填空题¶
-
多元函数求微分
-
计算错误第一步丢了一个负号,然后一直代入第一步的负号,永远差个负号QAQ。 -
倒数的定义
-
累积积分转换成二重积分,二重积分的方法就多了,对称性,轮换对称性,交换积分次序,换极坐标,换参数方程。
-
易错点可微的定义,注意:可微的定义先确定,\(\Delta x\) 和 \(\Delta y\) 也就是先确定 \(p\) ,这两个东西都是趋近于零的,下面给出一个例题
-
转换成矩阵方程,利用相似求出特征值
解答题¶
-
计算错误导数的定义,最后积分有个数字计算错了 -
思维卡壳旋转体的体积和物理应用,物理应用的 dv 计算错了,想当然认为是 一个面积了,应该是一个 小圆柱体,\(dv = \pi r^2 dh\) -
计算错误条件极值,中间有一步计算出错了,以后大题尽量不要跳步!!! 写清楚,写明白,使得上一步和下一步的关联为零,不要上面带着系数,下面就不带了 -
中值定理,第二问需要借助第一问的条件,提醒我们第一问是给出 hint 的,要把握住。
-
思维卡壳二重积分先利用轮换对称性干掉一个积分,过程错误:求解出 \(\iint f''(x,y) d\sigma = \iint f(x,y) d\sigma\),就直接认为 \(f''(x,y) = f(x,y)\) 了,正确做法应该是展开详细论证,其中还要有一个换元和换序。左边展开: $$ \int_0^tdx\int_0^{t-x} f''(x+y)dy = \int_0^t [f'(t)-f'(x)]dx = tf'(t) -[f(t)-f(0)] $$ 右边展开: $$ \int_0^tdx\int_0^{t-x} f(x+y)dy = \int_0^tdx\int_x^{t} f(u)du = \int_0^tdu\int_0^{u} f(u)dx\ = \int_0^t u f(u)du $$ 两边求导: $$ f'(t) + tf''(t) -f'(t) =tf(t) \ f''(t) = f(t) $$
-
合同变换就完了,第二问出的有点问题? P=C不就结束了?
卷四¶
选择题¶
-
连续加导数的定义两个式子
-
最小值所以 \(f(x)-f(a) \ge 0\) ,注意不要丢掉等号。
-
我用的是数形结合的办法,判断面积大小比较出来的,还可以采用 特值法令 \(f(x) = x\) 。常规做法是去绝对值,求导得出极值点。
-
物理应用,也是一个变化率的问题,与 卷五的第六题类似
-
求二重积分,极直互换搞一下就出来了。
答案用的 二重积分的中值定理 先证明在积分区域上 连续,然后就可以直接用了 \(\iint f(x,y) d\sigma = \frac{1}{S_D}\iint f(\xi, \eta)d\sigma\)
-
计算错误偏导计算和可微的定义,这题脑子抽抽了,可微算了一半在想偏导算错了(其实算对了),然后就改错了QAQ -
思路卡壳首先进行极值互换,\(I=\iint e^{kx}-e^{-ky}d\sigma\) ,下面给出两种方法证明这个题。
- 积分区域关于 \(y=x\) 对称,所以有 \(\iint e^{kx} d\sigma=\iint e^{ky} d\sigma\) ,进而 \(I = \iint e^{ky}-e^{-ky}d\sigma\) ,积分函数是关于 y 的奇函数且积分区域关于 x 轴对称,所以 \(I=0\)
- 积分区域关于 \(y=-x\) 对称,且 \(f(x,y) = -f(-x,-y)\) ,所以 \(I=0\)
思路卡壳以为考察的是矩阵等价和向量组等价不能互推,向量组等价能推矩阵等价,矩阵等价不能推向量组等价,先把AB排除,然后看 D 也不对直接选了 C
经过初等行变换,行向量组是等价的(行向量组整体做初等变换,是等价的)
这里为什么不是列向量组等价呢?
ans : 做初等行变换,列向量都不是整体做初等变换的,怎么可能是等价的。 最好的方法是写出 \(PA= B\) 按行分块写出结束
扩展一下:
- 向量组等价是两个向量组能互相线性表示,列向量组A:\(a_1,a_2 \cdots a_m\)与列向量组B:\(β_1,β_2 \cdotsβ_n\)
- 列向量组的等价秩相等条件是 \(r(A)=r(B)=r(A,B)\) --> \(AX=0 与 BX =0\) 的方程组通解
- 行向量组等价就是 \(r(A^T) = r(B^T) = r(\frac{A^T}{B^T})\) --> \(A^TX=0 与 B^TX = 0\) 的方程组(\(A^T\) 经过一系列初等行变换一定等变成 \(B^T\))
-
求出特征值来就结束了
-
代入基础解系,得出三个线性相关的向量,结束。
填空题¶
-
思路卡壳,计算错误好久不做 含 奇点 的积分了,忘记怎么求了。
方法: 将趋向于 1 换元成 趋向于 0,便于利用泰勒简化计算。
-
弧长公式计算就完了,注意:区间之间的转化:区间加函数减,区间再现,最后换到 \((0,\frac{\pi}{2})\) 利用点火公式biubiubiu
-
计算错误计算完之后忘记底数 e 了。方法:将上一步和下一步联系尽可能为 0 ,每一步都写清楚,不要节省那10秒钟,丢失了五分。 -
区间减函数加,先简化函数,反函数注意 \(f(g(x)) = x\) ,求导算就完了。
-
直接换元极坐标,注意:积分区域一定要确定好,一般是 \((0,2\pi)\),但要检查一下,比如 卷六 的19题就不是
-
让求的式子就是 \(tr(A^*)\) ,直接计算出 \(A^*\) 的特征值,求和就完了。这个题虽然没考,但是要注意一下:\(A^*\) 的第 \(i\) 行 第 \(j\) 个位置是 \(A_{j \,,\,i}\)
解答题¶
-
数列极限,数列极限一般有三种方法
- 单调有界
- \(x_{n+1} = f(x_n)\) ,求导,导数大于零确定函数单调,比较前两项确定数列单调递减还是单调递增
- 压缩映像
-
多元函数,硬算就好了。
-
零点定理和罗尔定理的结合,简单的一题
-
考察了 多元函数中的换元,有两种思路,一个是正着换,一个是反着换
- 如本题正着换就是,求出 \(dx/dt\) ,然后 \(\frac{dy}{dt} = \frac{dy}{dx} \cdot \frac{dx}{dt}\)
- 反着换就是,求出 \(dt/dx\) ,然后 \(\frac{dy}{dx} = \frac{dy}{dt} \cdot \frac{dt}{dx}\)
视情况而定,一般就看 \(dx/dt\) 和 \(dt/dx\) 那个更简洁,就用那个。
-
思路卡壳,计算错误偏心圆平移做,注意极直互换之后 不要漏掉 \(r\) (雅克比行列式)这一项,我就忘了QAQ思路:积分域是大圆套小圆,用割补法,然后极直互化,处理小圆直接平移极坐标原点
这里给出极坐标的扩展

-
能被相似 正交化 的矩阵一定是实对称矩阵。 $$ x^TAx =0 $$
-
用配方法写出,本题为 \(f= x_1^2 + x_2^2 +x_3^2 + 2x_1x_2+2x_2x_3+2x_1x_3 = (x_1+x_2+x_3)^2 = 0\)
-
利用 \(A^TAx=0\) 和 \(Ax = 0\) 同解
充分性:
\(x^TA^TAx= (Ax)^TAx = 0\)
所以 \(Ax = 0\)
必要性:
\(Ax = 0\) ,所以 $x^TAx = 0 $
对于本题来说,存在 \(A^2 = 3A\) $$ 3x^TAx = x^T(3A)x = x^T A^2x = x^T A^TAx = 0 $$ 进而 有 $Ax = 0 $ ,然后解线性方程组就完了
- 利用正交变换 \(X=QY\)
令对角矩阵中不为零 的系数为零就好了

-
推荐第一种配方法,配方法在两个地方比较好用
- 配方法比较容易得出时求可逆矩阵 P
- 二次型为零时
卷一¶
选择题¶
-
taylor 展开结束 $$ \frac{1}{1+x} = 1-x+x^2+\cdots $$
-
变上限函数的导数是极限
-
出现二阶导的正负,考虑 凹凸性 + 数形结合
-
微分方程解的结构
-
可微的判断
-
积分的计算
-
判断具体函数值的范围,只有两个方法 拉格朗日中值定理和taylor中值定理
本题采用 taylor 中值定理,先在合适的点处展开,再根据题设的条件,本题给了积分的条件,故本题是 taylor 再积分 。
-
把特征值多项式写出来就完了
-
行列式的计算
-
线性方程组判断有解无解,先把 系数矩阵 的行列式求出来,行列式不等于零有唯一解,等于零才存在无穷多解或无解
填空题¶
-
这题被反函数给绕晕了
记住这类题先把 \(y \to 2\) 做个换元转换为 \(u \to 0\) 的形式,然后就是简单极限计算了
-
简单题
-
隐函数求偏导,公式法 yyds
-
定积分的定义,含
ln分式 的一定给他拆开简化计算 -
简单题,注意只是二阶可导,不是二阶连续可导,要采用导数的定义来求 \(f''(0)\)
解答题¶
-
极限的计算
-
二重积分的计算
-
中值定理,采用万能构造解决
-
多元微分,求出来与坐标轴的交点先简化一下。
-
微分方程计算,不含 \(x\) 的可降阶微分方程,仔细一点计算就可以
-
\(A\) 和 \(A^*\) 特征向量相同,进而正交矩阵也是一样的,特征值不同,进而组成的对角矩阵是不同的 $$ \lambda^*_1 = \frac{|A|}{\lambda_1} = \frac{\lambda_1\lambda_2\lambda_3}{\lambda_1} = \lambda_2\lambda_3 $$ 酱紫我们就可以得出特征值的对应关系了
换一种方法理解\(A\) 和 \(A^*\) 的正交矩阵相同 $$ Q^T A Q = \land $$
所以特征向量是相同的,特征值不相同,但存在对应关系。
这里给出对于 二次型多项式为零的解 的一些说明 $$ x^TAx = 0 $$ 两种方式来理解:
-
用配方法写出,然后让平方项都等于零,解线性方程组
-
利用正交变换 \(X=QY\)
令对角矩阵中不为零 的系数为零就好了

推荐第一种配方法,配方法在两个地方比较好用
- 配方法比较容易得出时求可逆矩阵 P
- 二次型为零时
22合工大超越¶
卷一¶
选择题¶
-
等式脱帽法,注意本题只有连续一个条件,不能直接洛必达,要用导数的定义
-
渐近线的求法,在分母为零的地方取到垂直渐近线,无穷的地方取到水平渐近线和斜渐近线
-
几何上易得,数学证明上做差,然后拆分区间,再换元到相同区间即可 $$ \begin{aligned} I - J &= \int_0^{\frac{\pi}{2}}\dfrac{\cos x - \sin x}{1+x^2}dx = \int_0^{\frac{\pi}{4}}\dfrac{\cos x - \sin x}{1+x^2}dx + \int_{\frac{\pi}{4}}^{\frac{\pi}{2}}\dfrac{\cos x - \sin x}{1+x^2}dx \\ &= \int_0^{\frac{\pi}{4}}\dfrac{\cos x - \sin x}{1+x^2}dx + \int_{\frac{\pi}{4}}^0 \dfrac{\sin x - \cos x}{1+(\dfrac{\pi}{2} - x)^2}dx \\ &= \int_0^{\frac{\pi}{4}}\dfrac{\cos x - \sin x}{1+x^2}dx + \int_0^{\frac{\pi}{4}} \dfrac{\cos x - \sin x}{1+(\dfrac{\pi}{2} - x)^2}dx \\ &= \int_0^{\frac{\pi}{4}} (\cos x - \sin x) \cdot (\dfrac{1}{1+x^2}-\dfrac{1}{1+(\dfrac{\pi}{2} - x)^2})dx > 0 \end{aligned} $$
-
考虑几何意义,\(\frac{f(x)}{x}\) 表示斜率 ,\(\frac{\int_a^bf(x)dx}{b-a}\) 表示平均值,数学证明上是构造辅助函数;一般方法就是构造辅助函数求导分析。
-
二阶常系数微分方程,算子法
-
可微的定义
-
思路卡壳二重积分的定义,做题的时候迷糊了,这里总结一下 $$ \sum_{i=1}^n{\sum_{j=1}^{2n}{\frac{2}{n^2}f\text{(}\frac{2i+j}{n}\text{)}}} $$ 首先看积分区间,对 \(i\) 来说 \(\frac{2i}{n}\) 最大取到 2 ,所以 \(i\) 这意味的积分区间是 0 到 2,\(\frac{j}{n}\) 同理也是 0 到 2,排除 AD。对 \(j\) 来说,间距是 \(\frac{j}{n}-\frac{j-1}{n}=\frac{1}{n}\) ,所以是分成了 \(\frac{2}{1/n} =2n\) (积分长度除间距) 段,取左端点的值为小矩形的高 \(f(0+\frac{j(2-0)}{2n})\);对 \(i\) 来说,间距是 \(\frac{2(i+1)}{n}-\frac{2i}{n}=\frac{2}{n}\),所以是分成了 \(\frac{2}{2/n} = n\) 段,取左端点的值为小矩形的高 \(f(0+\frac{i}{n/2})=f(0+\frac{2i}{n})\)
总结:不需要在乎他分成了几段,只要知道他的间距可以了,间距 = \(\frac{b-a}{n}\) $$ \int_a^bf(x)dx = \lim_{n \to \infty} f[a+\frac{i(b-a)}{n}]\frac{b-a}{n} $$
-
简单题
-
\(A\beta_1=O\) 可以推出两个结论:
- 0 是 A 的特征值,\(\beta_1\) 是对应的特征向量,所以 \(r(A) \le 2\)
- \(r(A) + r(\beta_1) \le 3\)
又因为 \(0<r(AB) = r(0,A\beta_2) = r(A\beta_2) < r(A) \le 2\) ,所以 \(r(AB) =1\)
-
结论:左乘列满秩和右乘行满秩矩阵,都不会改变原来的秩,四秩相等
\(A A^T\) 特征值非负,因为 \(x^TAa^Tx= (A^Tx)^T(A^Tx) \ge 0\),这是列向量的内积一定非负,然后根据题目条件得到 \(A A^T\) 可逆,综合得到所有特征值都大于0,即正定。
填空题¶
- 高阶导数,将 \(\cos^2x\) 降幂,泰勒展开,求 \(x^{2022}\) 的系数
计算错误定积分的计算,含有指数或对数函数积分的,考虑 \(x = \ln t\) 和 \(x=e^t\) 的换元,使得积分变简单。- 多元微分求某一点的导数,直接采用偏导数的定义,先代后求。
- 反常积分收敛。
- 二重积分极直互换
- 合同变换
解答题¶
-
思路卡壳题目给出 \(f'(0) = 0,f''(0) \ne 0\) ,这就提示我们用 导数的定义求一阶导是没有任何意义的,要用定义求解导数的二阶导。case 1:利用导数的定义来求 u 和 x 的关系。 $$ \begin{align} \lim {x \rightarrow 0}\frac{u}{x} &= 1-\lim \\ &= 1- \lim } \frac{f(x)}{xf'(x){x \rightarrow 0} \frac{\frac{f(x)}{x^2}}{\frac{f'(x)}{x}} \\ &= 1 - \frac{1}{f''(0)} \lim \\ &=1-\frac{1}{f''(0)} \lim _{x \rightarrow 0} \frac{f'(x)}{2x} \\ &= 1-\frac{1}{2} =\frac{1}{2} \end{align} \frac{f(x)}{x^2} $$ case 2:利用泰勒公式求解 u 和 x 的关系。 $$ f(x) =f(0) + f'(0)x + \frac{f''(0)}{2}x^2 + o(x^2) = \frac{f''(0)}{2}x^2 + o(x^2) $$
\[ \begin{align*} \lim _{x\ \rightarrow \ 0}\frac{u}{x} &= 1-\lim _{x\ \rightarrow \ 0} \frac{f(x)}{xf'(x)} \\\\ &= 1- \lim _{x\ \rightarrow \ 0} \frac{\frac{f''(0)}{2}x^2 + o(x^2)}{xf'(x)} \\\\ &= 1 - \lim _{x\ \rightarrow \ 0} \frac{\frac{f''(0)}{2}}{\frac{f'(x)}{x}} \\\\ &= 1-\frac{1}{2} =\frac{1}{2} \end{align*} \]上面两种方法都要掌握!!!!
联系各阶导数和函数信息想到泰勒公式,求出 \(u\) 和 \(x\) 的对应关系后,\(f(u),f(x)\) 分别在 0 点处泰勒展开,注意一点就是 全过程不能用洛必达求到二阶导,只能凑二阶导定义或用泰勒公式,因为题目只是二阶可导,并不是二阶导连续,洛必达最多洛到一阶。
一句话来说就是 用皮亚诺型的泰勒公式 来求解抽象函数的导数定义问题。
注意:最后结果可以用特值法验证,如本题令 \(f(x)=x^2\)
-
条件极值,一般做法求偏导,验证黑塞矩阵。利用均值不等式说明是最值。
-
含参的变上限积分先换元,简单题
-
可以从斜率方向入手,利用正切函数的二倍角公式得出相应关系
-
计算错误二重积分分的计算,积分上下限又写错了QAQ,这次关注了下限没关注上限抽象函数(画不出来的函数)的对称性就要用抽象函数来表示,积分区域 \(f(x,y) = f(x,-y)\) ,积分区域关于 \(x\) 轴对称,用对称性先干掉一个 $$ \cos \theta \le r \le 1 $$
-
思路卡壳,思路繁琐第一问,利用迹等于特征值之和就可以就出另一个特征值,我却把 A 求出来了,进而求的 A 的行列式,利用行列式等于特征值之积做的。
-
\[ tr(A) = \sum \lambda \]
-
\[ |A| = \prod{ \lambda} \]
第二问注意:求原矩阵 A ,参考晚晴佬的快速还原矩阵 A
根据 \(r(A-2E)=1\) \(A-2E\)是秩1矩阵即每行每列成比例,即可解出所以参数
A 不是实对称矩阵,要先把 A 凑为实对称矩阵,再做正交变换。
-
卷二¶
选择题¶
-
等式脱帽法
-
可导的判断
-
微分方程解的结构
-
变上限函数周期函数的判断
-
区别于
2022年数一真题,
- 由极限存在可以得到,\(\lim\limits_{h \to 0} f(a+h) =0\) ,且 \(f(a) = 0\) ,所以在 \(x=h\) 处是连续的,进而可以得出可导。
-
隐函数存在定理,看看偏导存在不存在就行。
-
二重积分的计算
-
简单题
-
思路卡壳考场上忘记转化了QAQ,似是而非的猜了一个。。。 经典的 向量组用矩阵表示 ,得出 \(A=AB\) ,进一步转化可得 \(A(E-B) =0\) ,从而有 \(r(A) + r(E-B) \le n\) ,进而得出 \(r(A) \le 1\) ,又因为 \(A\) 由非零列向量组 组成,故 \(r(A) \ge 1\),所以\(r(A) = 1\)。 确定矩阵的秩,一定是由两个条件夹出来的。 -
思路卡壳$$ \begin{pmatrix} 1 & x_1 & x_1^2 & x_1^3 \\ 1 & x_2 & x_2^2 & x_2^3 \end{pmatrix} \begin{pmatrix} \alpha, \beta \end{pmatrix} = 0 $$
因为 \(x_1 \ne x_2\) ,所以 \(r(A) = 2\) ,根据公式 \(r(A) + r(\alpha,\beta) \le 4\) 得出,\(r(\alpha,\beta) \le 2\)
本题快速做题的方法是:BC说的是一个意思,所以都排除;A对则D也对,所以排除A。 作者:晚晴蓝艺 https://www.bilibili.com/read/cv14215750?spm_id_from=333.999.0.0 出处:bilibili
填空题¶
- 求导找规律
- 反函数的二阶导 \(-\frac{y''}{(y')^3}\)
- 多元函数的换元
- 极限的计算
- 曲率的计算
思路卡壳得出 \(r(A^*) =1\) ,\((1,1,\cdots,1)\) 是 \(A^*\) 特征值为 \(3\) 的特征向量,\(A^* x = 0\) 的解 等价于求 \(A^*\) 特征值为 \(0\) 的特征向量,根据 特征值不同特征向量相互正交计算可得 、
解答题¶
-
换元,区间再现的一些首段都用不了,考虑利用二重积分
-
非条件极值,求黑塞矩阵即可。
-
第一问给了提示要用放缩,第二问放缩不会做QAQ
-
计算错误二重积分的计算,先利用轮换对称简化题目。 -
计算错误物理应用,抽水问题。 -
上次不会这次会做了,李林六中的题,最后一问用配方法写出,平方项等于零解线性方程组。
22余丙森五套卷¶
卷一¶
选择题¶
-
等价无穷小
-
极值点的充分条件
-
反常积分收敛性判断 \(\ln \infty\) 的情况
-
极直互换
-
简单题
-
经典反例 \(|x|\) ,可去间断点不一定可导;D 在跳跃间断点是不可导的
-
常用公式
-
错误,做的时候只凭空想象了,没有写出具体的反例导致考虑不全面
向量组的关系问题,要知道两个线性无关的向量组不能互相表示时,可能占有相同的维度 借助对方其他的维度,是有可能表示出来的,也有可能不能表示出来 不过总体首先是一定存在一方维度超维另一方,因此拼起来秩增加
作者: Colopen 彩色铅笔 链接: https://www.colopen-blog.com/graduate_exam/Math/analogue/
错误,思路卡壳
$$
\left( \begin{matrix}
A& \beta\
O& 1\
\end{matrix} \right) \xrightarrow{\text{初等行变换}}\left( \begin{matrix}
A& 0\
O& 1\
\end{matrix} \right)
$$
所以
$$
r\left( \begin{matrix}
A& \beta\
\end{matrix} \right) < r\left( \begin{matrix}
A& \beta\
O& 1\
\end{matrix} \right) = r\text{(}A\text{) }+ 1
$$
进而 \(r(A) \le r(A \,\,\,\, \beta) \le r(A)\)
对于 \(\left( \begin{matrix} A& \beta\\ \beta ^T& 0\\ \end{matrix} \right) \left( \begin{array}{c} x\\ y\\ \end{array} \right) \ =\ 0\) ,将 $\left( \begin{array}{c} x\ y\ \end{array} \right) $整体看做一个解 \(X\) ,这是一个 \(AX= 0\) 形式的方程组 $$ r\left( \begin{matrix} A& \beta\ \beta ^T& 0\ \end{matrix} \right) =r(A) + r(\beta^T) = r(A) + r(\beta) $$ 这两个秩都无法确定,具体可以通过举反例来说明。
- 求出特征值具体的重数即可。
填空题¶
-
简单题
-
先利用对称性消掉奇函数
-
先代后求
-
累次积分交换积分次序
-
taylor 级数展开
-
\((A^{*})^{-1} = |A^{-1}| \cdot (A^{-1})^{-1}\) ,A 分块求逆 $$ \left( \begin{matrix} O& C\ n& O\ \end{matrix} \right) ^{-1} = \left( \begin{matrix} O& n^{-1}\ C^{-1}& O\ \end{matrix} \right) $$
解答题¶
-
第一步就写错了简单题 -
构造方程,解可降阶的微分方程
-
第一步就写错了将 max 求出,不难得出最大值取在 \((-1,3)\) 中距离最远的点,故以 \(x=1\) 为分界点划分区域积分 -
多元函数求导
-
第一问零点定理,第二问利用第一问的条件,双中值问题
-
第一问证明 \(r(A-kE) = n-k\)
第二问和 2021数一真题最后一题 一样
卷二¶
选择题¶
-
求导分析即可
-
简单题
-
考虑逆用牛莱公式
-
对 \(f(x,x^2)\) 求偏导
-
隐函数存在定理
-
将 \((-1,0)\) 的区间转化到 \((0,1)\) 上
-
求导分析,画出草图即可
-
AB是显然的,D 可以用线性无关的定义来证明,不存在不全为零的 \(k_1,k_2,k_3\) 使得线性组合为零。
-
关键是求出分块矩阵的逆,其实只要求出逆矩阵的一个值来就能确定答案了
-

正定的定义:当且仅当 \(x=0\) 时,\(f=0\) ,其余 \(f>0\)
所以x=0是f的无约束最小值
套求无约束的方法,所以bc对
极小值处,偏导数为0
黑塞矩阵>0
作者: Colopen 彩色铅笔 链接: https://www.colopen-blog.com/graduate_exam/Math/analogue/
填空题¶
- 分子和分母不同阶,放缩后利用定积分定义
- 直接求导过于繁琐,利用导数的定义
- 微分方程解的结构
- 旋转体的表面积的计算
- 斜渐近线,截距比较难算。
- 将向量组转换成矩阵方程,可以得出 \(A\) 和 系数矩阵相似,相似保证行列式不变,所以求出系数矩阵的行列式即可。
解答题¶
- 隐函数连续求导
少考虑情况注意 计算条件极值时有三个边界,每个都要单独考虑- 利用对称性简化计算
- 可微性的定义
- 第二问利用第一问的结论
- \(A\) 是一个秩一矩阵,可以表示为 \(A=\alpha \alpha^T\) ,进而 \(A^2 =\alpha \alpha^T \alpha \alpha^T = 3\alpha \alpha^T = 3A\) ,然后常规方法求正交矩阵即可。
卷三¶
选择题¶
-
无穷减无穷,左提右式
-
渐近线的求法
-
可导必连续
-
无穷小比阶
-
数形结合 和 逆用牛莱公式
-
微分方程解的结构
-
含参的变上限积分
-
粗心出错列满秩在行保持秩不变 -
可逆线性变化保证合同
-
\(\alpha_i^T\beta = \beta^T\alpha_i = 0\) ,采用定义的方法证明线性无关。
四秩相等 \(r(A) = r(A^T) = r(AA^T) = r(A^TA)\)
填空题¶
-
错误反函数的二阶导公式 \(-\frac{y''}{(y')^3}|_{y=0}\) ,注意 \(反函数g''(0)\) 对应的是 $ y=0,x=1,是在 $,而不是 \(x=0\) ! -
通过导数的定义求出函数
-
格式错误对于题目要求极值点(\(x_0 = 2\)),极值(\(number\)),拐点\((x_0,y_0)\) -
微分方程解的结构
-
无穷积分,积分函数是收敛的,且分子分母不同阶,对分母放小了些得出结果,正解应该是夹逼得出结果,填空题只需要给出结果就行了QAQ
-
方法繁琐通解的问题,对这个题的解法还是不是很熟练,需要加强 $$ r(A) = r\begin{pmatrix}A\\B\end{pmatrix} = r(B) $$
解答题¶
-
简单题
-
微分方程题,不含 \(x\) 的可降阶方程,最后形式要化简。
-
导数定义题
-
二重积分,大圆套小圆
-
第一问证明存在且唯一,存在利用零点定理,唯一利用单调性
第二问我是这样做的 $$ e^x = -x^{2n+1} \ \frac{x}{\ln(-x)} = 2n+1 $$ 当 \(n\) 趋于无穷时,\(x_n\) 是有界的,所以只有当 \(\ln(-x) = 0\) 才能使等式相等,进而 \(\lim x_n = -1\)
第三问易证。
-
思路繁琐这个题我硬算的,求出 \((A+2E)^{-1}\) 具体的矩阵,然后再求正交矩阵。更好的思路是直接求 \(A\) 的正交矩阵即可。
题目要求的是 \(Q^T (A+2E)^{-1} Q\) , 已知 \(Q^TAQ=\land\)
对前一个式子求逆得,\(Q^T (A+2E) Q = Q^T A Q +2E = \land + 2E\)
核心是:
\(A\) 和 \(f(A)\) 共享特征向量,只是特征值不一样罢了。
Last update: April 24, 2026


Discussion